Lec6
NFA 与 regular expression 转换后续
从 NFA 到 regular expression 的转换,本质上是动态规划的过程。
定义 NFA $N=(K,s,F,\Delta)$,满足
- $K=\{q_1,q_2,\dots,q_n\}$,$s=q_{n-1}$,$F=\{q_n\}$
- $(p,a,q_{n-1})\notin\Delta$,即没有箭头指向 initial state
- $(q_n,a,p)\notin\Delta$,即没有箭头从 accepting state 指向其他 state
这样的定义就是上次 lecture 里提到的等价的 $N'$。
Subproblem:
对于 $\forall i,j\in[1,n]$,$k\in[0,n]$,定义 language
$$L_{ij}^k=\{w\in{0,1}^*: w\text{ goes from } q_i \text{ to } q_j \text{ without passing any state whose index } >k\}$$
我们的目标就是求:
$$L_{(n-1),n}^{n-2}$$
Example

$L_{41}^0=\{e\}$
$L_{11}^0=\{0\}$
$L_{32}^0=\{1\}$
综上,如果 $q_i\rightarrow q_j$ 有箭头,内容为 $a$,则 $L_{ij}^0=\{a\}$;否则,$L_{ij}^0=\emptyset$
以上 example 为 base case。考虑数学归纳法,若 $L_{ij}^0\sim L_{ij}^{k-1}$ 均已知,如何计算 $L_{ij}^k$?
- case 1:中间经过的状态的 index 都小于 $k$,则对应 $L_{ij}^{k-1}$
- case 2:中间经过了状态 $q_k$(可能不止经过一次),则对应 $L_{ik}^{k-1}(L_{kk}^{k-1})^*L_{kj}^{k-1}$
综上:
$$L_{ij}^k=L_{ij}^{k-1} \cup L_{ir}^{k-1}(L_{rr}^{k-1})^*L_{rj}^{k-1}$$
通过上述递推式,我们就可以得到结果。
Pumping Theorem
我们已经知道了很多证明某个 language 为 regular 的方法,如 DFA、NFA、regular expression 等。但是,证明某个 language 不是 regular 是很难的。
Pumping Theorem
pumping theorem 给出了 regular 的一个必要条件:
若一个 language $L$ 是 regular 的,则存在正整数 $p$,对于 $L$ 中任意满足 $|w|\geqslant p$ 的字符串 $w$,都能被分解成某种 $w=xyz$ 的形式,满足:
- $|y|>0$
- 对于 $\forall i\geqslant 0$,$xy^iz\in L$
- $|xy|\leqslant p$,即重复段在前 $p$ 个字符中一定能找到
$p$ 称为 pumping length。
Proof
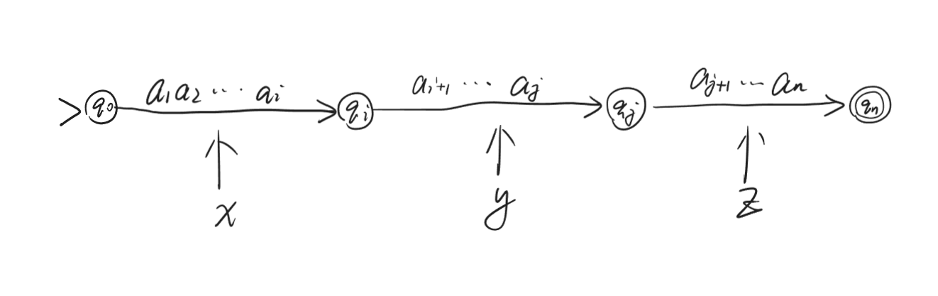
设 $L$ 对应的 DFA 为 $M$,设 $p$ 为 $M$ 的状态数。
对于任意一个满足 $|w|=n\geqslant p$ 的字符串 $w$,其在 $M$ 中的计算过程对应一个长度为 $n$ 的状态序列,涉及 $n+1$ 个状态:
$$q_0\rightarrow q_1\rightarrow\dots\rightarrow q_{n-1}\rightarrow q_n$$
由于 $n+1>p$,因此必然存在 $0\leqslant i<j\leqslant p$,使得 $q_i=q_j$。

- 要求1:$|y|=j-i>0$,满足
- 要求2:$q_i=q_j$,中间一段重复任意次后仍然到达这个状态,$xy^iz\in L$,满足
- 要求3:$|xy|=j\leqslant p$,满足
Application
pumping theorem 用于证明某个 language 不是 regular 的。
Example
求证:$\{0^n1^n:n\geqslant 0\}$ 不是 regular 的。
反证法:假设其是 regular 的,记为 $A$。
根据 pumping theorem,存在正整数 $p$ 满足要求。
选择一个长度大于等于 $p$ 的字符串 $w=0^p1^p\in A$,分成三个部分满足三个条件。
由第一个条件和第三个条件,$y$ 只能包含 $0$:$y=0^k\text{ for }k\geqslant 1$
但考虑第二个条件:取 $i=0$,$xy^0z=0^{p-k}1^p\notin A$,矛盾。