Chapter14 概率图模型
隐马尔可夫模型
概率图模型(probabilistic graphical model):
概率图模型是用图来表达变量关系的概率模型。分为
- 有向图模型(又称“贝叶斯网”)
- 无向图模型(又称“马尔可夫网”)
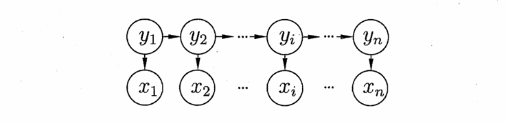
隐马尔可夫模型(Hidden Markov Model, HMM):
隐马尔可夫模型是一种有向图模型。有两种变量:
- 状态变量 $\{y_1,y_2,\dots,y_n\}$
- 观测变量 $\{x_1,x_2,\dots,x_n\}$
二者的依赖关系如下图所示:

马尔可夫随机场
马尔可夫随机场(Markov Random Field, MRF):
马尔可夫随机场是一种无向图模型。

如果一组节点两两都有边连接,则这个节点子集称为一个团(clique);如果一个团不能再通过添加节点而扩大,或者说不能被其他团包含,则称为极大团(maximal clique)。每个节点都至少出现在一个极大团中。
联合概率分布:
对于节点图中的 $n$ 个变量 $\mathbf{x}=\{x_1,\dots,x_n\}$,设所有极大团构成的集合为 $\mathcal{C}^*$,极大团 $Q\in\mathcal{C}^*$ 对应的变量集合为 $\mathbf{x}_Q$,则有联合概率分布:
$$P(\mathbf{x})=\frac{1}{Z^*}\prod_{Q\in\mathcal{C}^*}\psi_Q(\mathbf{x}_Q)$$
其中,$\psi_Q$ 为 $Q$ 对应的势函数,用于对变量关系进行建模;$Z^*$ 为规范化因子,确保 $P(\mathbf{x})$ 是被正确定义的概率。
条件独立性:
如下图所示,若从节点集 $A$ 到节点集 $B$ 必须经过节点集 $C$,则 $C$ 是 $A$ 和 $B$ 的分离集(separating set)。

若给定两个变量子集的分离集,则这两个变量子集条件独立,这称为全局马尔可夫性(global Markov property)。如上例,记作 $\mathbf{x}_A \perp \mathbf{x}_B \mid \mathbf{x}_C$。
由全局马尔可夫性可以推出:
- 局部马尔可夫性(local Markov property):若给定某变量 $v$ 的全部相邻变量 $n(v)$,则该变量条件独立于其他变量 $V\setminus(n(v)\cup\{v\})$:$\mathbf{x}_v\perp\mathbf{x}_{V\setminus(n(v)\cup\{v\})} \mid \mathbf{x}_{n(v)}$
- 成对马尔可夫性(pairwise Markov property):两个非相邻变量 $u$ 和 $v$ 在给定所有其他变量 $V\setminus\{u,v\}$ 的条件下独立:$\mathbf{x}_u\perp\mathbf{x}_v \mid \mathbf{x}_{V\setminus\{u,v\}}$
条件随机场
条件随机场(Conditional Random Field, CRF):
条件随机场是一种无向图模型。
Note
生成式模型对联合分布进行建模,隐马尔可夫模型和马尔可夫随机场都是生成式模型;判别式模型对条件分布进行建模,条件随机场是判别式模型。
令观测序列 $\mathbf{x}=\{x_1,\dots,x_n\}$,对应标记序列 $\mathbf{y}=\{y_1,\dots,y_n\}$,则条件随机场的目标是构建条件概率模型 $P(\mathbf{y}|\mathbf{x})$。

Warning
此处省略学习与推断、近似推断、话题模型。